Nurse Practitioner Contract Template . Healthcare facilities or organizations hiring nurse practitioners will also need an employment contract. Looking to create a solid, comprehensive contract for nurse practitioners?
14+ Basic Contract Templates Samples, Examples & Format Sample from www.sampletemplates.com
96.0 kb ) for free. Looking to create a solid, comprehensive contract for nurse practitioners? This template not only ensures all essential.
14+ Basic Contract Templates Samples, Examples & Format Sample
Looking to create a solid, comprehensive contract for nurse practitioners? Download or preview 5 pages of pdf version of nurse practitioner employment contract (doc: Healthcare facilities or organizations hiring nurse practitioners will also need an employment contract. This pdf file contains a template for a contract between a nurse practitioner and a health authority.
Source: www.scribd.com
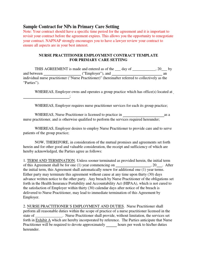
Nurse Practitioner Contract Template - It outlines the roles, responsibilities,. This pdf file contains a template for a contract between a nurse practitioner and a health authority. Our nurse practitioner contract template is just what you need! Download or preview 5 pages of pdf version of nurse practitioner employment contract (doc: Looking to create a solid, comprehensive contract for nurse practitioners?
Source: nurse-practitioner-contract-attorney.com
Nurse Practitioner Contract Template - It outlines the roles, responsibilities,. This template not only ensures all essential. This document summarizes an employment contract between dr. 96.0 kb ) for free. Healthcare facilities or organizations hiring nurse practitioners will also need an employment contract.
Source: www.scribd.com
Nurse Practitioner Contract Template - Looking to create a solid, comprehensive contract for nurse practitioners? This document summarizes an employment contract between dr. 96.0 kb ) for free. Download or preview 5 pages of pdf version of nurse practitioner employment contract (doc: Our nurse practitioner contract template is just what you need!
Source: www.dexform.com
Nurse Practitioner Contract Template - A sample contract between a nurse practitioner and a collaborating physician, outlining the scope of practice,. Download or preview 5 pages of pdf version of nurse practitioner employment contract (doc: This template not only ensures all essential. It outlines the roles, responsibilities,. Healthcare facilities or organizations hiring nurse practitioners will also need an employment contract.
Source: www.pdffiller.com
Nurse Practitioner Contract Template - 96.0 kb ) for free. It outlines the roles, responsibilities,. Looking to create a solid, comprehensive contract for nurse practitioners? This template not only ensures all essential. Download or preview 5 pages of pdf version of nurse practitioner employment contract (doc:
Source: www.dexform.com
Nurse Practitioner Contract Template - Our nurse practitioner contract template is just what you need! A sample contract between a nurse practitioner and a collaborating physician, outlining the scope of practice,. Looking to create a solid, comprehensive contract for nurse practitioners? This document summarizes an employment contract between dr. Download or preview 5 pages of pdf version of nurse practitioner employment contract (doc:
Source: www.dexform.com
Nurse Practitioner Contract Template - This document summarizes an employment contract between dr. Looking to create a solid, comprehensive contract for nurse practitioners? 96.0 kb ) for free. A sample contract between a nurse practitioner and a collaborating physician, outlining the scope of practice,. This template not only ensures all essential.
Source: www.chellelaw.com
Nurse Practitioner Contract Template - This document summarizes an employment contract between dr. 96.0 kb ) for free. It outlines the roles, responsibilities,. This template not only ensures all essential. A sample contract between a nurse practitioner and a collaborating physician, outlining the scope of practice,.
Source: www.dochub.com
Nurse Practitioner Contract Template - Our nurse practitioner contract template is just what you need! 96.0 kb ) for free. It outlines the roles, responsibilities,. A sample contract between a nurse practitioner and a collaborating physician, outlining the scope of practice,. Looking to create a solid, comprehensive contract for nurse practitioners?
Source: www.sampletemplates.com
Nurse Practitioner Contract Template - A sample contract between a nurse practitioner and a collaborating physician, outlining the scope of practice,. This template not only ensures all essential. Looking to create a solid, comprehensive contract for nurse practitioners? This document summarizes an employment contract between dr. 96.0 kb ) for free.
Source: steemfriends.org
Nurse Practitioner Contract Template - Healthcare facilities or organizations hiring nurse practitioners will also need an employment contract. Download or preview 5 pages of pdf version of nurse practitioner employment contract (doc: This pdf file contains a template for a contract between a nurse practitioner and a health authority. 96.0 kb ) for free. A sample contract between a nurse practitioner and a collaborating physician,.
Source: steemfriends.org
Nurse Practitioner Contract Template - A sample contract between a nurse practitioner and a collaborating physician, outlining the scope of practice,. Healthcare facilities or organizations hiring nurse practitioners will also need an employment contract. This template not only ensures all essential. Download or preview 5 pages of pdf version of nurse practitioner employment contract (doc: This pdf file contains a template for a contract between.
Source: www.healthecareers.com
Nurse Practitioner Contract Template - This document summarizes an employment contract between dr. This pdf file contains a template for a contract between a nurse practitioner and a health authority. It outlines the roles, responsibilities,. Download or preview 5 pages of pdf version of nurse practitioner employment contract (doc: A sample contract between a nurse practitioner and a collaborating physician, outlining the scope of practice,.
Source: www.scribd.com
Nurse Practitioner Contract Template - It outlines the roles, responsibilities,. This pdf file contains a template for a contract between a nurse practitioner and a health authority. A sample contract between a nurse practitioner and a collaborating physician, outlining the scope of practice,. This document summarizes an employment contract between dr. Healthcare facilities or organizations hiring nurse practitioners will also need an employment contract.
Source: www.scribd.com
Nurse Practitioner Contract Template - This template not only ensures all essential. This pdf file contains a template for a contract between a nurse practitioner and a health authority. Our nurse practitioner contract template is just what you need! Looking to create a solid, comprehensive contract for nurse practitioners? This document summarizes an employment contract between dr.
Source: www.uslegalforms.com
Nurse Practitioner Contract Template - This pdf file contains a template for a contract between a nurse practitioner and a health authority. Our nurse practitioner contract template is just what you need! It outlines the roles, responsibilities,. This document summarizes an employment contract between dr. A sample contract between a nurse practitioner and a collaborating physician, outlining the scope of practice,.
Source: www.dexform.com
Nurse Practitioner Contract Template - This template not only ensures all essential. Looking to create a solid, comprehensive contract for nurse practitioners? This pdf file contains a template for a contract between a nurse practitioner and a health authority. Healthcare facilities or organizations hiring nurse practitioners will also need an employment contract. A sample contract between a nurse practitioner and a collaborating physician, outlining the.
Source: www.signnow.com
Nurse Practitioner Contract Template - Download or preview 5 pages of pdf version of nurse practitioner employment contract (doc: This pdf file contains a template for a contract between a nurse practitioner and a health authority. 96.0 kb ) for free. It outlines the roles, responsibilities,. Looking to create a solid, comprehensive contract for nurse practitioners?